Low fat dieting for weight loss doesn’t work. That is, it works, just very very poorly. In fact it works just enough for confused obesity researchers to call the weight loss significant. Somewhere along the way, it was decided that a 5% loss of initial body weight is to be considered clinically significant [1]. So if you weigh 100kg and work your butt of (which is what you are not really doing) to get rid of 5kg, scientifically speaking that’s a success. When Bray, Bouchard and James wrote the Handbook of Obesity [2] they presented pretty compelling evidence that traditional weight loss does not work. They still continued recommending low fat for weight loss. The 2002 Cochrane meta-analysis titled “Advice on low-fat diets for obesity” by Pirozzo and coworkers [3] was recently withdrawn. The Cochrane organization claims the conclusions are out of date. What the metaanalysis showd was that
“…fat-restricted diets are no better than calorie restricted diets in achieving long term weight loss in overweight or obese people.“
And the authors concluded that both strategies produced a weight loss that was
“…so small as to be clinically insignificant.”
This conclusion was reached by looking at the best studies available up till 2002. No new studies have provided evidence the conclusion of the meta-analysis was wrong, but it seems the Cochrane Collaboration could not live with such a politically incorrect conclusion.
In a new study, and a pretty damn large one at that, the researchers went out of their way to resurrect the dead, but sadly not buried lowfatforweightlossworksgoddamnit-hypothesis.
Enter the Look AHEAD Study. The study was a “…multicenter randomized clinical trial to examine the effects of a lifestyle intervention designed to achieve and maintain weight loss over the long term through decreased caloric intake and exercise.”
Here’s how the authors view the study:
“As perhaps the most extensive test of long-term multidisciplinary lifestyle intervention to date, the Look AHEAD (Action for Health in Diabetes) trial presents a unique opportunity to examine the long term viability of lifestyle intervention as a clinical and public health strategy for obesity and type 2 DM.”
A total of 5,145 overweight/obese men and women with type 2 diabetes were randomly assigned to an intensive lifestyle intervention (ILI) or a usual care group, referred to as Diabetes Support and Education (DSE).
“The ILI included diet modification and physical activity and was designed to induce at least a 7% weight loss at year 1 and to maintain this weight loss in subsequent years. The ILI participants were assigned a calorie goal (1200- 1800 kcal/d based on initial weight), with less than 30% of total calories from fat (<10% from saturated fat) and a minimum of 15% of total calories from protein.”
“The exercise goal was at least 175 minutes of physical activity per week, using activities similar in intensity to brisk walking. Behavioral strategies, including self monitoring, goal setting, and problem solving, were stressed. The ILI participants were seen weekly for the first 6 months and 3 times per month for the next 6 months, with a combination of group and individual contacts. During years 2 through 4, participants were seen individually at least once a month, contacted another time each month by telephone or e-mail, and offered a variety of ancillary group classes. At each session, participants were weighed, self-monitoring records were reviewed, and a new lesson was presented, following a standardized treatment protocol.”
Bet you wonder what kind of marvelous results you can get from this intensive intervention. Bet you think all the participants in the ILI group came out of the study looking like Greek gods. I mean, 4 years of exercise, diet and pampering…
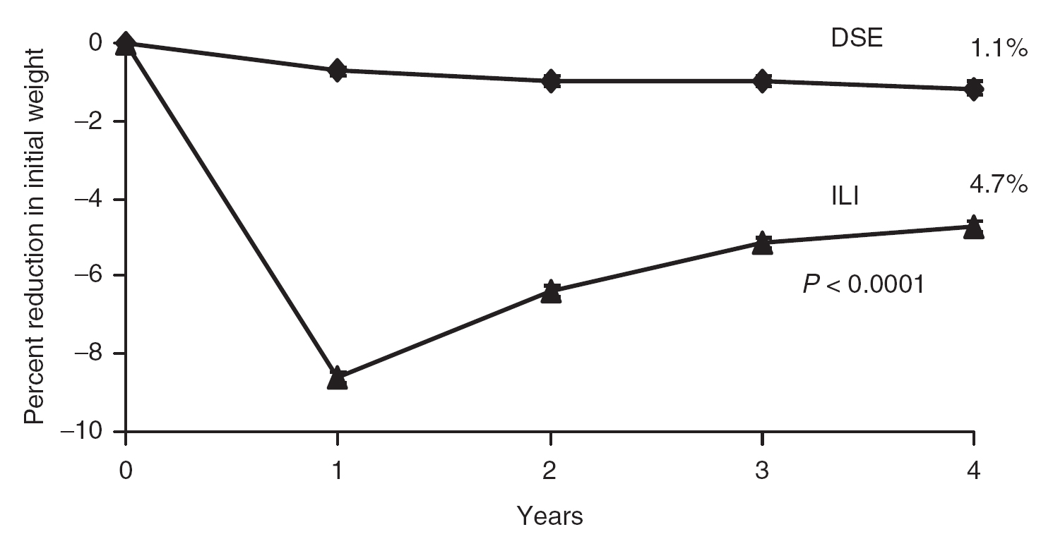
At the end of the 4 year period the participants in the ILI group, whose average baseline weight was 95kg in women and 109kg in men, reduced their weight by 4.7%. Actual weight loss was 4,9kg.
Here’s nice graph from the study
This figure shows how 74% of the participants in the ILI group lost weight while 26% gained weight. Only 46% of the group lost more than 5% body weight:
So there you have it. These are the grand effects of 4 years of intensive lifestyle changes. I’m not impressed.
Funny thing. If you read the abstracts, the article in which the main results were published [4] states that the average weight loss was 6,15%, yet in a more recent article addressing what factors correlated with long term success, the number is 4,7% [5]. It turns out that the number 6,15% is an average of the weight lost at 1, 2, 3 and 4 years which is not a very nice way to present data. I would say it’s a pretty poor way to present data. You have to read the entire article to find that “…the ILI group maintained a mean weight loss of 4.7% at year 4.”
Literature
1. J. Stevens et al., «The Definition of Weight Maintenance,» Int J.Obes.(Lond) 30, no. 3 (2006): 391-399.
2. George A. Bray, Claude Bouchard, and W. P. T. James, Handbook of obesity, ed. George A. Bray, Claude Bouchard, and W. P. T. James. (New York: M. Dekker, 1997), xii, 1012.
3. S. Pirozzo et al., «Advice on Low-Fat Diets for Obesity,» Cochrane.Database.Syst.Rev., no. 2 (2002): CD003640.
4. R. R. Wing, «Long-Term Effects of a Lifestyle Intervention on Weight and Cardiovascular Risk Factors in Individuals With Type 2 Diabetes Mellitus: Four-Year Results of the Look AHEAD Trial,» Arch.Intern.Med. 170, no. 17 (2010): 1566-1575.
5. T. A. Wadden et al., «Four-Year Weight Losses in the Look AHEAD Study: Factors Associated With Long-Term Success,» Obesity.(Silver.Spring) 19, no. 10 (2011): 1987-1998.


Legg igjen en kommentar